Техническое обслуживание (ТО) системы охлаждения
AGA — Техническое обслуживание (ТО) системы охлаждения- Главная
- О компании
- Новости
- Автопробеги
- Вакансии
- Интересное видео
- Партнерство
- Дилер РФ
- Оптовые продажи
- Зарубежные партнеры
- Каталог продукции
- Рекламные материалы
- Торговые марки
- Экспертиза и обучение
- FAQ
- Колонка тех.эксперта
- Форум
- Обучение
- Подбор промывок
- Каталог 300 советов
- Где купить?
- АВТОМАГ
Техническое обслуживание (ТО) системы охлаждения
Смена антифриза
Среди владельцев автомобилей существует мнение о том, что антифриз в процессе эксплуатации можно не менять. Это заблуждение чревато негативными последствиями для системы охлаждения и двигателя. Антифриз в процессе эксплуатации изменяет свои характеристики: снижается запас щелочности, увеличивается склонность к пенообразованию, возрастает агрессивность к резине и увеличивается способность вызывать коррозию металлов, причем не только стали и чугуна, но и цветных металлов (латуни, меди, алюминия).
Интенсивность изменения свойств антифриза зависит от средней рабочей температуры.
Средний срок службы антифриза «Тосол А40-М» составляет 2-3 года или 60 тысяч км пробега, но лишь в том случае, если плотность антифриза не менее 1075 кг/м3, при этом соотношение воды и этиленгликоля составляет 50/50. Восстановить необходимую плотность антифриза (1075… 1082 кг/м3) можно за счет добавления концентрата антифриза. Если эксплуатировать автомобиль указанный срок с низкой плотностью антифриза, то коррозия элементов системы охлаждения происходит более интенсивно.
Ингибиторы коррозии
Электрохимической коррозии подвергаются и цветные металлы системы охлаждения автомобильных двигателей, что обычно и является причиной образования течей в радиаторе и отопителе салона. Поскольку этиленгликоль коррозионно агрессивен по отношению к металлам, то, соответственно, в роли агрессивной среды выступает антифриз, который омывает одновременно целый ряд металлов: чугун, сталь, алюминий, латунь, медь.
Соседство различных металлов представляет собой усугубляющий фактор, интенсифицирующий процесс коррозии.
Следует подчеркнуть, что в оригинале аннотации к ингибитору коррозии артикула HG9005 на английском языке написано: «… защищает подшипники и сальник водяного насоса от преждевременного выхода из строя за счет улучшения смазки системы охлаждения…». Это не означает, что ингибитор содержит дополнительную смазку именно для водяного насоса (помпы). Речь идет только об улучшении смазки сальника водяного насоса, специально разделяющего охлаждающую жидкость и подшипниковый узел водяного насоса во избежание попадания охлаждающей жидкости в подшипники, вымывания находящейся там специальной пластичной смазки и неминуемой поломке помпы. Поэтому надпись на упаковке «смазка для водяного насоса» следует комментировать так: «смазка для сальника водяного насоса». То же самое относится ко всем остальным ингибиторам коррозии для системы охлаждения.
Составы для промывки системы охлаждения
В процессе эксплуатации автомобиля на внутренних стенках радиатора, на стенках охлаждающей рубашки блока цилиндров и его головки может образовываться накипь.
Особенно интенсивно она образуется при использовании воды в качестве охлаждающей жидкости. Накипь — это твердое, прочное соединение, образующееся в результате оседания на стенках бикарбонатов, сульфатов и хлоридов кальция и магния, содержащихся в воде. Концентрация этих солей оценивается показателем «общая жесткость» воды. Чем выше жесткость воды, тем больше накипи. Накипь является теплоизолятором, поэтому значительное ее отложение ухудшает теплоотвод и вызывает перегрев двигателя. Нарушение сбалансированного охлаждения теплонапряженных деталей вызывает их сильное тепловое расширение и ускоренный износ, что может послужить причиной выхода двигателя из строя.
Поэтому периодически необходимо промывать систему охлаждения, чтобы удалить накипь и другие отложения. Для этой цели используют специальные промывки, способные восстановить исправную работу системы охлаждения.
При использовании антифриза в качестве охлаждающей жидкости накипи образуется существенно меньше, поскольку в состав антифриза входят антинакипиновые присадки и дистиллированная вода, имеющая, как известно, минимальную жесткость.
Разумеется, концентрат антифриза разбавляется только дистиллированной водой. Однако при использовании антифриза имеют место вредные отложения, обусловленные срабатыванием присадок, что препятствует нормальной работе системы охлаждения, поэтому процедура периодической промывки необходима.
Электролиты для аккумуляторов
Электролиты для кислотных автомобильных аккумуляторных батарей представляют собой смесь серной аккумуляторной кислоты с дистиллированной водой.
Классификация моторных масел ILSAC и АСЕА
Американские и японские автомобилестроители совместно разработали требования к моторным маслам для автомобильных бензиновых ДВС и ведут разработку требований к маслам для дизелей.
Рекомендации по применению охлаждающих жидкостей
Рекомендации по применению охлаждающих жидкостей
Напишите нам
Какая информация вас интересует? * Техническая информацияСотрудничество Приложить документ (не более 5 МБ)
Состав антифриза |
Антифризыявляются охлаждающими жидкостями для систем охлаждения двигателей внутреннего сгорания автомобилей.
Автомобильные антифризы состоят из смеси воды, этиленгликоля и пакета присадок, придающих антифризу антикоррозионные, антикавитационные, антипенные и флуоресцентные (для облегчения поиска течи) свойства.
1. Состав антифризов.1.1. Антифриз получают смешиванием этиленгликоля с дистиллированной водой и присадками.
Максимально низкой температурой замерзания (-75°С) является смесь, содержащая 75 % этиленгликоля и 25 % воды.
Определение этиленгликоля из Википедии: Этиленгликоль — кислородсодержащее органическое соединение, двухатомный спирт, простейший представитель полиолов (многоатомных спиртов). В очищенном виде представляет собой прозрачную бесцветную жидкость слегка маслянистой консистенции. Не имеет запаха и обладает сладковатым вкусом. Токсичен. Попадание этиленгликоля или его растворов в организм человека может привести к необратимым изменениям в организме и к летальному исходу.
1.2. По данным ГОСТ 19710-2019 этиленгликоль — горючая жидкость.
Плотность при 20 °С 1116 кг/м3. Температура кипения — 197 °С. Температура вспышки — 111 °С.
Температура самовоспламенения — 412 °С.
Температура замерзания чистого этиленгликоля минус 12,3°С, но в смеси с водой температура замерзания уже антифриза достигает до вышеуказанных минус 75°С
1.3. Из-за применения в смесях дистиллированной воды антифризы не образуют в системе охлаждения двигателей накипи, что является их одним из основных достоинств.
При нагревании антифризов во время работы двигателя из них испаряется вода, этиленгликоль из-за высокой температуры кипения (197°С) не испаряется. Поэтому убыль смеси восполняется добавкой в систему охлаждения дистиллированной воды.
1.4. Перед доливкой воды в систему охлаждения, а также в процессе эксплуатации автомобилей в условиях низких температур, состав антифриза проверяется гидрометром.
Гидрометр представляет собой разновидность ареометра, но вместо шкалы значений плотности нанесена шкала значений концентрации этиленгликоля в смеси и температура замерзания антифриза.
Каждому составу смеси соответствует определенная плотность. Значения плотности антифризов приведены в таблице 2.
2.1. В соответствии с ГОСТ 28084 — 89
промышленностью выпускается чистый этиленгликоль марки ОЖ — К (концентрат с массовой долей воды не более 5%), водоэтиленгликолевые смеси марки ОЖ — 40 и марки ОЖ — 65 с температурой замерзания соответственно 40°С и 65°С с антикоррозионными, антивспенивающими, стабилизирующими и красящими добавками.
2.2. Для приготовления рабочих охлаждающих жидкостей концентрат ОЖ — К разбавляют дистилированной водой.
Антифриз марки ОЖ-40 содержит 56% этиленгликоля (концентрата ОЖ – К) и 44% дистиллированной воды, марки ОЖ-65 – 65% этиленгликоля и 35% воды.
2.3. По данному ГОСТу срок хранения антифриза должен быть не менее 5 лет.
2.4. Основные показатели антифризов по ГОСТ 28084 – 89 приведены в таблице 1
Таблица 1.
| Показатели | Марки антифризов | ||
| ОЖ-К | ОЖ-40 | ОЖ-65 | |
| — этиленгликоль, % | 100 | 56 | 65 |
| — дистиллированная вода | — | 44 | 35 |
| — присадки | — | До 5 % | До 5 % |
| 2. Плотность, г/см3 при 20°С | 1,100-1,150 | 1,065-1,085 | 1,085-1,100 |
| 3. Температура замерзания, °С | -12,3 | -40 | -65 |
| 4. Внешний вид | Прозрачная однородная окрашенная жидкость без механических примесей | ||
Таблица 2.
| Концентрация антифриза по этиленгликолю, % | Плотность антифриза, г/см3 при 20°С | Температура замерзания антифриза, °С |
| 27,0 | 1,03 – 1,04 | Минус 12 |
| 32,0 | 1,04 | Минус 16 |
| 36,0 | 1,05 | Минус 20 |
| 44,0 | 1,06 | Минус 28 |
| 50,0 | 1,069 | Минус 37 |
| 56,0 | 1,07 | Минус 40 |
| 60,0 | 1,08 | Минус 54 |
| 65,0 | 1,085 | Минус 64 |
| 66,0 | 1,086 | Минус 67 |
| 70,0 | 1,09 | Минус 70 |
| 75,0 | 1,095 | Минус 75 |
| 80,0 | 1,097 | Минус 58 |
| 84,0 | 1,10 | Минус 46 |
| 90,0 | 1,108 | Минус 35 |
| 95,0 | 1,11 | Минус 28 |
| 97,0 | 1,11 | Минус 22 |
| 100,0 | 1,14 | Минус 12 |
Производство антифризов осуществляется в соответствии с техническими условиями, которые разрабатываются каждым производителем на основании ГОСТ 28084 — 89.
Производители антифризов применяет различные наборы присадок, в том числе и красящие. По этой причине антифризы могут иметь синий , красный, зеленый и другие цвета.
Название Тосол является является торговой маркой, это тот же антифриз.
Жидкие теплоносители на основе пропиленгликоля
Engineering ToolBox — Ресурсы, инструменты и базовая информация для проектирования и проектирования технических приложений!
Точки замерзания теплоносителей на основе пропиленгликоля, подходящих для пищевой промышленности.
Рекламные ссылки
Для многих применений теплопередачи необходимо использовать теплоноситель с более низкой температурой замерзания, чем у воды. Самый распространенный антифриз — этиленгликоль — нельзя использовать там, где есть вероятность утечки в питьевую воду или системы обработки пищевых продуктов.
В системах пищевой промышленности обычным теплоносителем является пропиленгликоль.
Температура замерзания водных растворов на основе пропиленгликоля
Температура замерзания водных растворов на основе пропиленгликоля при различных температурах:
| Температура замерзания | ||||||||||||
| Пропил ne Раствор гликоля (%) | по массе | 0 | 10 | 20 | 30 | 40 | 50 | 60 | ||||
| по объему | 0 | 10 | 19 | 29 | 40 | 50 | 60 | |||||
| Температура | или F | 32 | 26 | 18 | 7 | -8 | -29 | -5 5 | ||||
| или С | 0 | -3 | -8 | -14 | -22 | -34 | -48 | |||||
| Удельный вес — SG — | ||||||||
| Раствор пропиленгликоля (%) | по массе | 0 | 10 | 20 | 30 | 40 | 50 | 60 |
| по объему | 0 | 10 | 90 029 2029 | 40 | 50 | 60 | ||
| Удельный вес — SG — 1) | 1.000 | 1,008 | 1,017 | 1,026 | 1,034 | 1,041 | 1,046 | |
1) Удельный вес растворов пропиленгликоля с температурой 60 o F.
Плотность водных растворов пропиленгликоля
| Плотность — ρ — (кг/м 3 ) | ||||||||||||
|---|---|---|---|---|---|---|---|---|---|---|---|---|
| Массовая доля пропиленгликоля в растворе | Температура — t — ( или С) | |||||||||||
| -45 | -33 | -22 | -13 | -7 | 9 0237 -30 | 20 | 40 | 60 | 80 | 100 | 0 | 1000 | 998 | 993 | 983 | 9002 9 972958 |
| 0,1 | 1012 | 1012 | 1006 | 998 | 988 | 976 | 965 9 0021 | |||||
| 0,2 | 1023 | 1022 | 1022 | 1014 9002 1 | 1004 | 992 | 980 | 967 | ||||
| 0,3 | 1035 | 1034 | 1032 | 1031 | 1022 | 1010 | 997 | 983 | 969 | |||
| 0,4 | 1049 | 1047 | 1044 | 1043 | 1041 | 1030 | 1016 | 1002 9002 1 | 987 | 971 | ||
| 0,5 | 1064 | 1061 | 1058 | 9002 9 10551053 | 1051 | 1038 | 1023 | 1006 | 990 | 974 | ||
| 0,6 | 1080 | 1078 | 1074 | 1069 | 1065 | 1063 | 1061 | 1046 | 1029 | 101 1 | 994 | 976 |
- Расчет объемного расширения в системе отопления/охлаждения
Температуры кипения растворов пропиленгликоля
Температура кипения растворов пропиленгликоля:
| Температура кипения | ||||||||
| Раствор пропиленгликоля (%) | по массе 9002 1 | 0 | 10 | 20 | 30 | 40 | 50 | 60 |
| по объему | 0 | 10 | 20 | 29 | 40 | 50 | 60 9002 1 | |
| Температура ( или F) | 212 | 212 | 213 | 216 | 219 | 2 22 | 225 | |
- T( o C) = 5/9[T( o F) — 32] 904 43
Удельная теплоемкость растворов пропиленгликоля
Удельная теплоемкость растворов пропиленгликоля:
| Удельная теплоемкость | ||||||||
| Раствор пропиленгликоля (%) | по массе | 0 | 10 | 20 | 30 | 40 90 021 | 50 | 60 |
| по объему | 0 | 10 | 20 | 2 9 | 40 | 50 | 60 | |
| Удельная теплоемкость — c p — 9002 5 (БТЕ/фунт или F) | 1,000 | 0,980 | 0,960 | 0,935 | 0,895 | 0,850 | 0,805 90 021 | |
- 1 БТЕ/(фунт м o F) = 4186,8 Дж/(кг K) = 1 ккал/(кг o C) 900 27
Рекламные ссылки
Похожие темы
Точки кипения
Точки кипения элементов, продуктов и химических соединений при различных условиях.
Свойства материалов
Материальные свойства газов, жидкостей и твердых тел — плотность, теплоемкость, вязкость и т.д.Системы трубопроводов
Размеры труб и трубок, материалы и емкости, расчеты и диаграммы перепада давления, диаграммы изоляции и тепловых потерь.
Сопутствующие документы
Антифриз – этиленгликоль Объемная зависимость от номинальной температуры
Защита систем охлаждения от замерзания – температурная стойкость от требуемого количества антифриза.Антифриз – этиленгликоль и пропиленгликоль
Сравнение свойств антифризов на основе этиленгликоля и пропиленгликоля.Водные растворы хлорида кальция
Температура замерзания, плотность, удельная теплоемкость и динамическая вязкость охлаждающих жидкостей на основе хлорида кальция.Dowtherm A
Физические свойства Dowtherm A.Водные растворы, защищенные от замерзания этанола
Температура замерзания и температура вспышки для водных растворов или соляных растворов на основе этанола.
Смеси этанола с водой – плотность в зависимости от температуры
Плотность водных растворов этилового спирта.Свойства теплоносителя на основе этиленгликоля
Свойства, такие как температура замерзания, вязкость, удельный вес и удельная теплоемкость теплоносителей на основе этиленгликоля или соляных растворов.Защита от замерзания жидких теплоносителей на водной основе
Сравнение антифризов, используемых в жидких теплоносителях или соляных растворах на водной основе.Морозильные смеси и хладагенты
Морозильные смеси, хладагенты и температуры замерзания.Глицерин – температуры кипения и замерзания
Температуры кипения и замерзания водных растворов глицерина.Системы водяного отопления — онлайн-приложение для проектирования
Бесплатный онлайн-инструмент для проектирования систем водяного отопления — метрические единицы.Системы водяного отопления — онлайн-приложение для проектирования, британские единицы измерения
Онлайн-инструмент для проектирования систем водяного отопления.
Углеводороды, спирты и кислоты – температуры кипения
Температуры кипения (°C и °F) с различным числом атомов углерода до C33.Защищенные от замерзания водные растворы на основе изопропанола (2-пропанола)
Температура замерзания и температура воспламенения водных растворов или соляных растворов на основе изопропанола (2-пропанола).Жидкости — точки замерзания и плавления
Обычные жидкости и их температуры замерзания и плавления.Температура плавления углеводородов, спиртов и кислот
Температура плавления (°C и °F) с углеродным числом до C33.Жидкие теплоносители с защитой от замерзания метанола
Температуры замерзания и вспышки для теплоносителей или соляных растворов на основе метанола или метила.Жидкости для смешивания
Конечная масса и температура при смешивании жидкостей.Вторичные хладагенты — свойства
Сравнение таких свойств, как удельный вес, точки замерзания и вязкость, для вторичных хладагентов, таких как хлорид кальция, хлорид натрия, этиленгликоль и пропиленгликоль.
Водные растворы хлорида натрия
Температура замерзания, плотность, удельная теплоемкость и динамическая вязкость хлористого натрия и водяного хладагента.Объемное (кубическое) тепловое расширение
Калькулятор объемного температурного расширения.
Рекламные ссылки
Engineering ToolBox — расширение SketchUp — 3D-моделирование онлайн!
Добавляйте стандартные и настраиваемые параметрические компоненты, такие как балки с полками, пиломатериалы, трубопроводы, лестницы и т. д., в свою модель Sketchup с помощью Engineering ToolBox — расширения SketchUp, которое можно использовать с потрясающими, интересными и бесплатными приложениями SketchUp Make и SketchUp Pro. Добавьте расширение Engineering ToolBox в свой SketchUp из хранилища расширений SketchUp Pro Sketchup!
Перевести
О Engineering ToolBox!
Мы не собираем информацию от наших пользователей. Подробнее о
- Политика конфиденциальности Engineering ToolBox
Реклама в ToolBox
Если вы хотите продвигать свои продукты или услуги в Engineering ToolBox, используйте Google Adwords.
Вы можете настроить таргетинг на Engineering ToolBox с помощью управляемых мест размещения AdWords.
Цитирование
Эту страницу можно цитировать как
- Инженерный набор инструментов (2003 г.). Жидкие теплоносители на основе пропиленгликоля . [онлайн] Доступно по адресу: https://www.engineeringtoolbox.com/пропилен-гликоль-d_363.html [День, месяц, год].
Изменить дату доступа.
. .закрыть
Сделать ярлык на главный экран?
SMC- Глоссарий терминов
- Поиск по инициалам
- Поиск в категории
・Холодильные контуры, элементы Пельтье, источники охлаждения
・Измерение и контроль температуры
・Контроль жидкости и связанные с нагревом
・Электропитание, электрооборудование
・Свойства жидкости, материал s, Физические характеристики
・Стандарты безопасности
● Циркуляционная жидкость, циркуляционная жидкость с постоянной температурой
Жидкость, которая циркулирует среди оборудования заказчика, температура которой регулируется охладителем.
Принимая во внимание температуру замерзания, точку кипения, электроизоляционные свойства и т. д., в зависимости от применения можно выбрать чистую воду, деионизированную воду, водный раствор этиленгликоля, фторированные жидкости и т. д.
● Чистая вода
Вода, которая была отфильтрована и дистиллирована, а любые примеси удалены. Ее также называют очищенной водой.
●Мощность охлаждения
Объем тепла (тепловой энергии), который терморегулирующее оборудование может поглотить (охладить) в единицу времени при произвольной температуре.
●Степень вязкости
Плотность жидкости. Единицами, используемыми для выражения абсолютной степени вязкости, являются единицы [Па·с], но они часто выражаются в системе единиц СГС с помощью [P] (Пуаз).
1 [Па·с] = 10 [П]
Значение, полученное путем деления абсолютной степени вязкости на плотность, называется кинетической вязкостью. Это может быть измерено в единицах [м2/с], но обычно используются [Ст] (Стоксы).
● Деионизированная вода
Вода, в которой были удалены какие-либо примеси или ионные элементы. Его получают удалением ионных элементов с помощью ионообменной смолы, после отфильтровывания примесей с помощью сажевого фильтра. Его теоретическое удельное сопротивление имеет предел 18,3 [МОм·см], но реально достичь этого значения невозможно. Как правило, вода с удельным сопротивлением от 1 до 10 МОм·см называется деионизированной водой.
●Плотность, удельный вес
Вес на единицу объема, измеряемый в единицах [кг/м3].
Удельный вес – это отношение плотности данного вещества к плотности воды (1,0 [г/см3]) и является безразмерной величиной. При выражении этой величины в системе единиц СГС плотность и удельный вес имеют одно и то же значение.
●Электропроводность
Значение, показывающее легкость прохождения электричества через жидкость и обратно пропорциональное удельному сопротивлению.
При 25°C электрическая проводимость теоретически 100% деионизированной воды составляет 0,055 [мкСм/м].
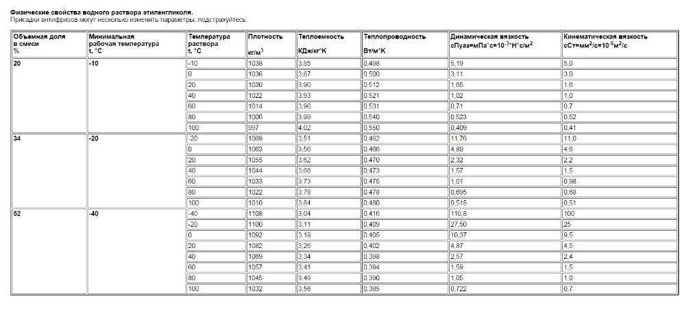
● Водный раствор этиленгликоля
Этиленгликоль — это разновидность спирта, и добавление его в воду приводит к снижению точки замерзания воды. Это основной компонент автомобильных антифризов. При концентрации 60 % температура замерзания падает до –40 °C или ниже, но вязкость увеличивается при понижении температуры, поэтому, принимая во внимание текучесть, целесообразно считать минимальной температуру около –20 °C.
Добавляя этиленгликоль к деионизированной воде, можно повысить удельное сопротивление жидкости, поэтому ее можно использовать в тех случаях, когда требуется циркулирующая жидкость с высокими изолирующими свойствами.
●Фторированные жидкости
Инертные жидкости фтористого ряда. Существует много типов, в том числе перфторполиэфир (PFPE), перфторуглерод (PFC), гидрофторполиэфир (HFPE) и гидрофторэфир (HFE), но они обладают общими характеристиками высоких электроизоляционных свойств, а сорта могут быть выбраны с соответствующей текучестью даже при низких температурах, таких как -100°C, и высоких температурах, таких как 200°C и выше.
Они химически инертны и не ядовиты. На рынке продаются продукты
, такие как Fluorinert™ производства 3M и GALDEN® производства Solvay Solexis.
●Fluorinert™
Название продукта фторированной жидкости, производимой компанией 3М.
Его основной структурой является перфторуглерод, но он имеет большое разнообразие химических структур, и можно выбрать различные марки с различными диапазонами температуры и вязкости.
●GALDEN®
● Нагрев
Такие термины, как тепло, тепловая нагрузка, холодопроизводительность и т. д., которые используются в этом каталоге, обозначают количество тепла, которое может быть поглощено или излучено в единицу времени.
В результате используются следующие единицы измерения: [Вт] = [Дж/с] (рабочая скорость) или [ккал/ч].
1 кВт = 860 ккал/час
●Тепловая нагрузка
→ Холодопроизводительность
●Водный раствор пропиленгликоля
Пропиленгликоль — это разновидность спирта, и добавление его в воду приводит к снижению точки замерзания воды. Подобно этиленгликолю, он является основным компонентом автомобильных антифризов.
Обладает смазывающими свойствами и нелетуч.
●Удельная теплоемкость, удельная теплоемкость
Тепловая энергия, необходимая для повышения температуры объекта в определенном температурном интервале при определенных условиях давления и объема.
Удельная теплоемкость воды: 1 [кал/г·K] = 4,184 x 103 [Дж/кг·K]
● Удельное сопротивление
Значение, указывающее электроизоляционные свойства жидкости, и используемая единица измерения — [Ом·см]. При выражении удельного сопротивления деионизированной воды его иногда называют «уровнем DI».
Разное





